Упражнение 6.58 ГДЗ Дорофеев Суворова 7 класс (Алгебра)
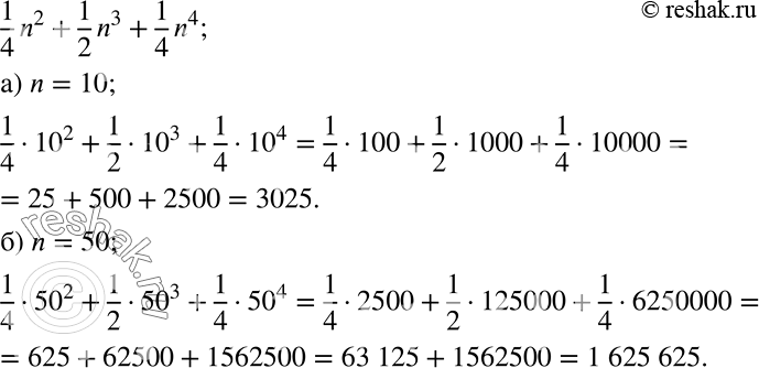
Сумму кубов натуральных чисел от 1 до n можно вычислить по формуле 1^3 + 2^3 + 3^3 + ... + n3 = 1/4*n2 + 1/2*n3 + 1/4*n4.

Ниже вариант решения задания из учебника Дорофеев, Суворова, Бунимович 7 класс, Просвещение:
Сумму кубов натуральных чисел от 1 до n можно вычислить по формуле 1^3 + 2^3 + 3^3 + ... + n3 = 1/4*n2 + 1/2*n3 + 1/4*n4.
Вычислите сумму кубов натуральных чисел для: а) n = 10; б) n = 50.
