Упражнение 6.91 ГДЗ Дорофеев Суворова 7 класс (Алгебра)
Действуем по правилу (682 — 684) 682 Раскройте скобки: а) с(2а + b); б) 2а (3b + 5); в) -2с(4с + 1);

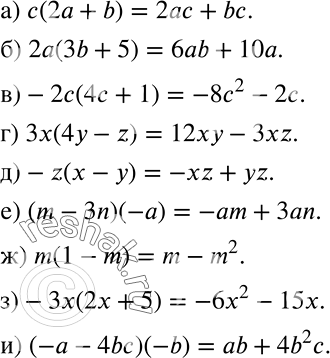
Ниже вариант решения задания из учебника Дорофеев, Суворова, Бунимович 7 класс, Просвещение:
Действуем по правилу (682 — 684)
682 Раскройте скобки:
а) с(2а + b);
б) 2а (3b + 5);
в) -2с(4с + 1);
г) 3x(4у - z);
д) -z(х-у);
е) (m - 3n)(-а);
ж) m(1 - m);
з) -3x(2c + 5);
и) (-а - 4bc)(-b).
