Упражнение 6.94 ГДЗ Дорофеев Суворова 7 класс (Алгебра)
Разбираем способ решения Иногда удобно вести запись умножения в столбик: -5a2 (3a3 - a + 4)/(-15a5 + 5a3 - 20a2) Умножьте одночлен на многочлен:

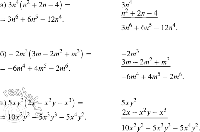
Ниже вариант решения задания из учебника Дорофеев, Суворова, Бунимович 7 класс, Просвещение:
Разбираем способ решения Иногда удобно вести запись умножения в столбик:
-5a2
(3a3 - a + 4)/(-15a5 + 5a3 - 20a2)
Умножьте одночлен на многочлен:
а) 3n4(n2+ 2n -4);
б) -2m3(3m - 2m2 + m3);
в) 5ху2(2х- х2у - х3).
