Упражнение 6.95 ГДЗ Дорофеев Суворова 7 класс (Алгебра)
Упростите выражение (686—687). 686 а) 3n2 - n(4n - 6m); б) 5а + 2а(3а - 2); в) 5с3 - 3с2(2с - 1).

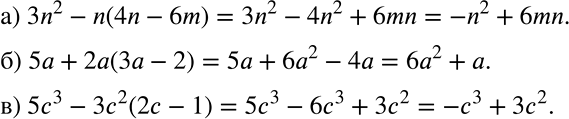
Ниже вариант решения задания из учебника Дорофеев, Суворова, Бунимович 7 класс, Просвещение:
Упростите выражение (686—687).
686 а) 3n2 - n(4n - 6m);
б) 5а + 2а(3а - 2);
в) 5с3 - 3с2(2с - 1).
