Упражнение 9.6 ГДЗ Дорофеев Суворова 7 класс (Алгебра)
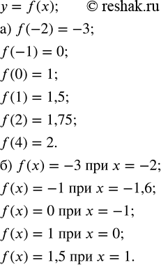
На рисунке 9.6 изображён график некоторой функции. Найдите по этому графику: а) значение функции, соответствующее значению аргумента, равному -2; -1; 0;

Ниже вариант решения задания из учебника Дорофеев, Суворова, Бунимович 7 класс, Просвещение:
На рисунке 9.6 изображён график некоторой функции. Найдите по этому графику:
а) значение функции, соответствующее значению аргумента, равному -2; -1; 0; 1; 2; 4;
б) значение аргумента, цри котором значение функции равно -3; -1; 0; 1; 1,5.
