Упражнение 9.4 ГДЗ Дорофеев Суворова 7 класс (Алгебра)
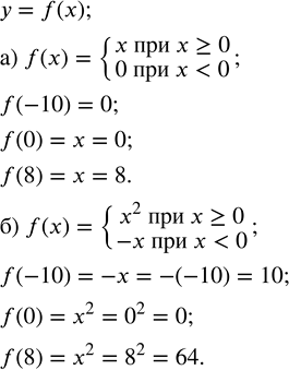
Дана функция у = f(x). Найдите: f(-10), f(0), f(8). а) f(x) = {x при x ? 0; 0 при x б) f(x) = {x^2 при x ?

Ниже вариант решения задания из учебника Дорофеев, Суворова, Бунимович 7 класс, Просвещение:
Дана функция у = f(x). Найдите: f(-10), f(0), f(8).
а) f(x) = {x при x ? 0; 0 при x
б) f(x) = {x^2 при x ? 0; -x при x
