Упражнение 9.1 ГДЗ Дорофеев Суворова 7 класс (Алгебра)
Автомобиль должен проехать 600 км. Двигаясь со скоростью v км/ч, он затратит на этот путь t ч. Задайте формулой время движения t как функцию скорости v.

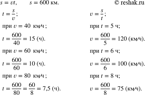
Ниже вариант решения задания из учебника Дорофеев, Суворова, Бунимович 7 класс, Просвещение:
Автомобиль должен проехать 600 км. Двигаясь со скоростью v км/ч, он затратит на этот путь t ч. Задайте формулой время движения t как функцию скорости v. Найдите время движения, если скорость движения равна 40 км/ч; 60 км/ч; 80 км/ч. Найдите скорость движения, если время движения равно 5 ч; 6 ч; 8 ч.
