Это надо знать Глава 8 ГДЗ Дорофеев Суворова 7 класс (Алгебра)
Что называется решением уравнения с двумя переменными? Укажите несколько решений уравнения 4х - у = 4. 2. Дайте определение линейного уравнения с двумя переменными.


Ниже вариант решения задания из учебника Дорофеев, Суворова, Бунимович 7 класс, Просвещение:
Что называется решением уравнения с двумя переменными? Укажите несколько решений уравнения 4х - у = 4.
2. Дайте определение линейного уравнения с двумя переменными. Какие из следующих уравнений являются линейными:
x + y = 0, 1/x - 1/y = 3, 2x - 5y = 8, y - x^2 = 6?
3. Что является графиком уравнения ах + by = с, где хотя бы один из коэффициентов а и b отличен от 0?
4. Как решить уравнение 5х + 2у = 9 относительно у? Найдите угловой коэффициент прямой, заданной этим уравнением.
5. Прямые, изображённые на рисунке 8.18, могут быть заданы уравнениями вида у = kх. Для каждой прямой укажите знак коэффициента k.
6. Каков геометрический смысл коэффициента l в уравнении у = kx + l? В какой точке пересекает ось у прямая у = 3х - 10?
7, Сформулируйте условие параллельности двух прямых, заданных уравнениями вида y = kx + l. Приведите примеры уравнений, задающих параллельные прямые.
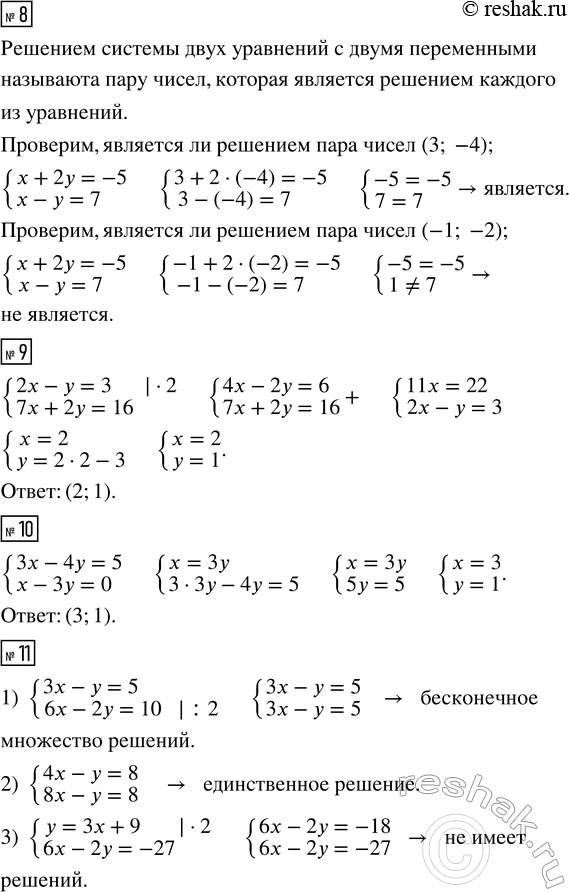
8. Что называется решением системы двух уравнений с двумя переменными? Является ли решением системы уравнении {x + 2y = -5; x - y = 7; пара чисел (3; -4); (-1; -2)?
9. На примере системы уравнении {2x - y = 3; 7x + 2у = 16; расскажите, как решают систему методом сложения.
10. На примере системы уравнений {3x - 4y = 5; x - 3y = 0, расскажите, как решают систему методом подстановки.
11. Сколько решений может иметь система двух линейных уравнений с двумя переменными? Используя графические соображения, определите, какая система имеет единственное решение, какая система не имеет решений, какая система имеет бесконечное множество решений:
1) {3x - y = 5; 6x - 2y = 10;
2) {4x - y = 8; 8x - y = 8;
3) {y = 3x + 9; 6x - 2y = -24.
