Упражнение 152 ГДЗ Колягин Ткачёва 7 класс (Алгебра)
Найти разность: 1) 3 - 9; 2) 3,8 - 10; 3) -15 - (-27); 4) -2 3/4 - (-1 1/4); 5) -18,3 - 5,9;


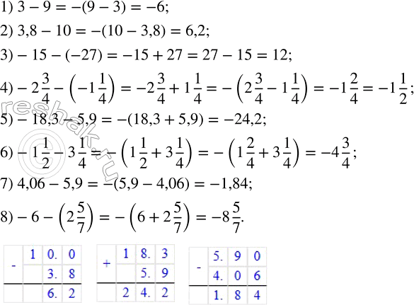
Ниже вариант решения задания из учебника Колягин, Ткачёва, Фёдорова 7 класс, Просвещение:
Найти разность:
1) 3 - 9; 2) 3,8 - 10;
3) -15 - (-27); 4) -2 3/4 - (-1 1/4);
5) -18,3 - 5,9; 6) -1 1/2 - 3 1/4;
7) 4,06 - 5,9; 8) -6 - (2 5/7).
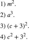
Записать:
1) квадрат числа m;
2) куб числа a;
3) квадрат суммы чисел c и 3;
4) сумму квадратов чисел c и 3.
