Упражнение 155 ГДЗ Колягин Ткачёва 7 класс (Алгебра)
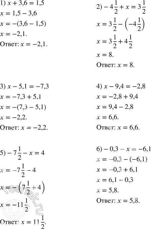
Решить уравнение: 1) x + 3,6 = 1,5; 2) -4 1/2 + х = 3 1/2; 3) x - 5,1 = -7,3;


Ниже вариант решения задания из учебника Колягин, Ткачёва, Фёдорова 7 класс, Просвещение:
Решить уравнение:
1) x + 3,6 = 1,5; 2) -4 1/2 + х = 3 1/2;
3) x - 5,1 = -7,3; 4) х - 9,4 = -2,8;
5) -7 1/2 - x = 4; 6) -0,3 - х = -6,1.
Записать в стандартном виде:
1) число молекул газа в 1 см^3 при 0^о C и давлении 760 мм рт.ст., равное 27 000 000 000 000 000 000;
2) число километров, составляющих один парсек (единица длины, принятая в астрономии), если один парсек равен 30 800 000 000 000 км;
3) электронная вычислительная машина может произвести в 1 с 1 000 000 операций.
