Упражнение 156 ГДЗ Колягин Ткачёва 7 класс (Алгебра)
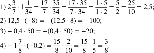
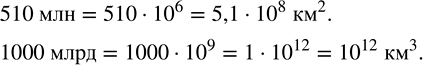
Выполнить умножение: 1) 2 3/7 · 1 1/34; 2) 12,5 · (-8); 3) -0,4 · 50; 4) -1 7/8 · (-0,2).Поверхность земного шара составляет более 510 млн км^2, объем Земли свыше 1000 млрд км^3.


Ниже вариант решения задания из учебника Колягин, Ткачёва, Фёдорова 7 класс, Просвещение:
Выполнить умножение:
1) 2 3/7 · 1 1/34; 2) 12,5 · (-8);
3) -0,4 · 50; 4) -1 7/8 · (-0,2).
Поверхность земного шара составляет более 510 млн км^2, объем Земли свыше 1000 млрд км^3. Записать данные числа в стандартном виде.
