Упражнение 166 ГДЗ Колягин Ткачёва 7 класс (Алгебра)
Собранные 3,2 ц яблок решили посушить. Оказалось, что половина потерянной массы в 1 1/2 раза больше оставшейся. Какой стала масса яблок после сушки?


Ниже вариант решения задания из учебника Колягин, Ткачёва, Фёдорова 7 класс, Просвещение:
Собранные 3,2 ц яблок решили посушить. Оказалось, что половина потерянной массы в 1 1/2 раза больше оставшейся. Какой стала масса яблок после сушки?
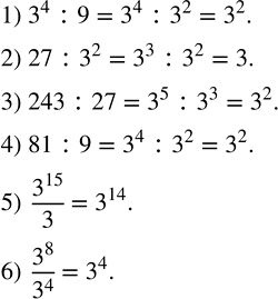
Записать в виде степени с основанием 3:
1) 3^4 :9; 2) 27:3^2; 3) 243:27; 4) 81:9; 5) 3^15/3; 6) 3^8/3^4 .
