Упражнение 162 ГДЗ Колягин Ткачёва 7 класс (Алгебра)
Вычислить и сделать проверку двумя способами: 1) -1 13/35 : (-3 3/5); 2) -8 2/5 : (-1 1/20); 3) -16,9 :


Ниже вариант решения задания из учебника Колягин, Ткачёва, Фёдорова 7 класс, Просвещение:
Вычислить и сделать проверку двумя способами:
1) -1 13/35 : (-3 3/5); 2) -8 2/5 : (-1 1/20);
3) -16,9 : 0,13; 4) 470,4 : (-0,084).
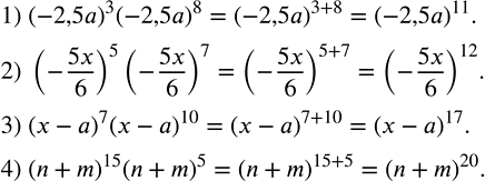
Записать произведение в виде степени:
1) (-2,5a)^3 (-2,5a)^8;
2) (-5x/6)^5 (-5x/6)^7;
3) (x-a)^7 (x-a)^10;
4) (n+m)^15 (n+m)^5.
