Упражнение 536 ГДЗ Колягин Ткачёва 7 класс (Алгебра)
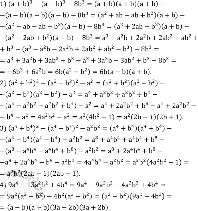
Разложить на множители: 1) (a+b)^3-(a-b)^3-8b^3; 2) (a^2+b^2 )^2-(a^2-b^2 )^2-a^2; 3) (a^4+b^4 )^2-(a^4-b^4 )^2-a^2 b^2; 4) 9a^4-13a^2 b^2+4b^4. (Устно.) Прочитать следующие выражения, назвать независимую и зависимую переменные:


Ниже вариант решения задания из учебника Колягин, Ткачёва, Фёдорова 7 класс, Просвещение:
Разложить на множители:
1) (a+b)^3-(a-b)^3-8b^3;
2) (a^2+b^2 )^2-(a^2-b^2 )^2-a^2;
3) (a^4+b^4 )^2-(a^4-b^4 )^2-a^2 b^2;
4) 9a^4-13a^2 b^2+4b^4.
(Устно.) Прочитать следующие выражения, назвать независимую и зависимую переменные:
s(t)=120t; p(x)=17,8x; C(R)=2?R; m(V)=7,8V;
y(x)=1/7 x+3; t(s)=s/120; x(y)=7y-21; f(x)=2-5x^2.
