Упражнение 532 ГДЗ Колягин Ткачёва 7 класс (Алгебра)
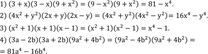
Выполнить умножение: 1) (3+x)(3-x)(9+x^2 ); 2) (4x^2+y^2 )(2x+y)(2x-y); 3) (x^2+1)(x+1)(x-1); 4) (3a-2b)(3a+2b)(9a^2+4b^2 ). Построить прямую, проходящую через точки A (-2;3) и B (-2;


Ниже вариант решения задания из учебника Колягин, Ткачёва, Фёдорова 7 класс, Просвещение:
Выполнить умножение:
1) (3+x)(3-x)(9+x^2 );
2) (4x^2+y^2 )(2x+y)(2x-y);
3) (x^2+1)(x+1)(x-1);
4) (3a-2b)(3a+2b)(9a^2+4b^2 ).
Построить прямую, проходящую через точки A (-2;3) и B (-2; -1). Чему равны абсциссы точек, лежащих на прямой AB?
