Упражнение 58 ГДЗ Колягин Ткачёва 7 класс (Алгебра)
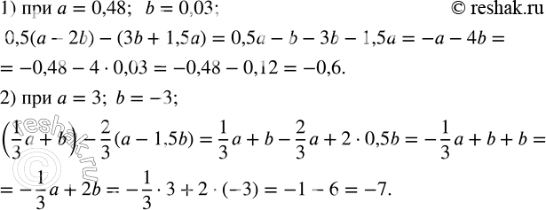
Представить в виде смешанного числа неправильную дробь: 47/17, 58/19, 83/25, 96/23.Упростить выражение и найти его числовое значение: 1) 0,5(a-2b)-(3b+1,5a) при a=0,48, b=0,03;


Ниже вариант решения задания из учебника Колягин, Ткачёва, Фёдорова 7 класс, Просвещение:
Представить в виде смешанного числа неправильную дробь:
47/17, 58/19, 83/25, 96/23.
Упростить выражение и найти его числовое значение:
1) 0,5(a-2b)-(3b+1,5a) при a=0,48, b=0,03;
2) (1/3 a+b)-2/3(a-1,5b) при a=3, b=-3.
