Упражнение 61 ГДЗ Колягин Ткачёва 7 класс (Алгебра)
Привести к знаменателю 100 дроби: 1) 1/2, 1/4, 1/5, 1/10, 1/20, 1/25, 1/50; 2) 3/4, 4/5, 7/10, 11/20, 13/25, 27/50.Найти числовое значение алгебраического выражения:


Ниже вариант решения задания из учебника Колягин, Ткачёва, Фёдорова 7 класс, Просвещение:
Привести к знаменателю 100 дроби:
1) 1/2, 1/4, 1/5, 1/10, 1/20, 1/25, 1/50;
2) 3/4, 4/5, 7/10, 11/20, 13/25, 27/50.
Найти числовое значение алгебраического выражения:
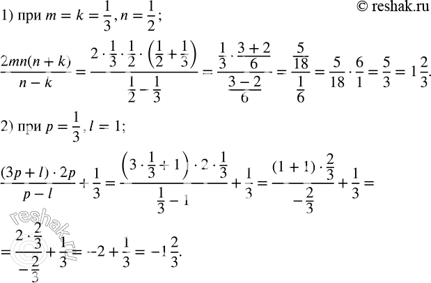
1) 2mn(n+k)/(n-k) при m=k=1/3,n=1/2;
2) ((3p+l)•2p)/(p-l)+1/3 при p=1/3,l=1.
