Упражнение 53 ГДЗ Колягин Ткачёва 7 класс (Алгебра)
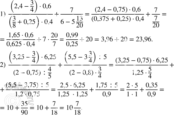
Записать дроби 540/30; 3600/120; 6120/15; 5253/17 в виде частного и найти значение. Вычислить значение числового выражения: 1) ((2,4-3/4)•0,6)/((3/8+0,25)•0,4)+7/(6-5 13/20); 2) ((3,25-3/4)•6,25)/((2-0,75) :4/5)+((5,5-3 3/4) :5)/((2-0,8)•3/4).


Ниже вариант решения задания из учебника Колягин, Ткачёва, Фёдорова 7 класс, Просвещение:
Записать дроби 540/30; 3600/120; 6120/15; 5253/17 в виде частного и найти значение.
Вычислить значение числового выражения:
1) ((2,4-3/4)•0,6)/((3/8+0,25)•0,4)+7/(6-5 13/20);
2) ((3,25-3/4)•6,25)/((2-0,75) :4/5)+((5,5-3 3/4) :5)/((2-0,8)•3/4).
