Упражнение 583 ГДЗ Колягин Ткачёва 7 класс (Алгебра)
Разложить на множители: 1) (x^2-1)^2-(x^2+2)^2; 2) (5+x^2 )^2-(7+x^2 )^2; 3) (3x-1)^2-(5-2x)^2; 4) (7+5x)^2-(3x-2)^2. Построить график функции, заданной формулой y=-2x-1. Найти по графику:


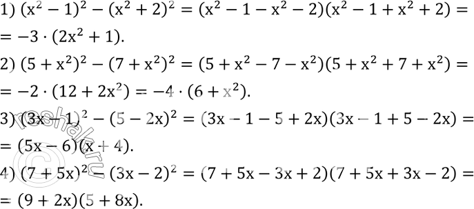
Ниже вариант решения задания из учебника Колягин, Ткачёва, Фёдорова 7 класс, Просвещение:
Разложить на множители:
1) (x^2-1)^2-(x^2+2)^2;
2) (5+x^2 )^2-(7+x^2 )^2;
3) (3x-1)^2-(5-2x)^2;
4) (7+5x)^2-(3x-2)^2.
Построить график функции, заданной формулой y=-2x-1. Найти по графику:
1) значение y, если значение x равно 2; -2; -1,5;
2) при каком значении x значение y равно -5; 2; 6.
