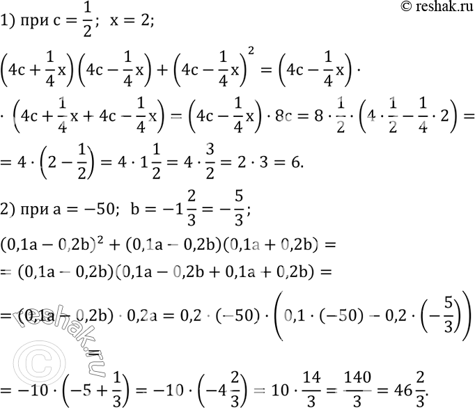
Упражнение 580 ГДЗ Колягин Ткачёва 7 класс (Алгебра)
Упростить выражение и найти его числовое значение: 1) (4c+1/4 x)(4c-1/4 x)+(4c-1/4 x)^2 при c=1/2; x=2; 2) (0,1a-0,2b)^2+(0,1a-0,2b)(0,1a+0,2b) при a=-50; b=-1 2/3;


Ниже вариант решения задания из учебника Колягин, Ткачёва, Фёдорова 7 класс, Просвещение:
Упростить выражение и найти его числовое значение:
1) (4c+1/4 x)(4c-1/4 x)+(4c-1/4 x)^2 при c=1/2; x=2;
2) (0,1a-0,2b)^2+(0,1a-0,2b)(0,1a+0,2b) при a=-50; b=-1 2/3;
Дана линейная функция y(x)=3x-1.
1) Найти y(0), y(1), y(2).
2) Найти значение x, если y(x)=-4, y(x)=8, y(x)=0.
