Упражнение 578 ГДЗ Колягин Ткачёва 7 класс (Алгебра)
Разложить на множители: 1) 8ax+16ay-3bx-6by; 2) 14am-7an+8bm-4bn; 3) 9a^2+6a+1-4b^2; 4) 25a^2-4b^2+4b-1. Двигаясь равномерно, велосипедист проехал 70 км. Записать формулу зависимости скорости велосипедиста v от времени t (в часах) нахождения его в пути.


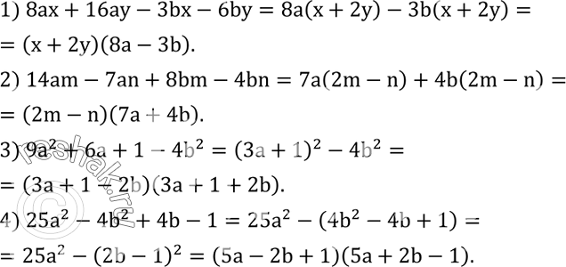
Ниже вариант решения задания из учебника Колягин, Ткачёва, Фёдорова 7 класс, Просвещение:
Разложить на множители:
1) 8ax+16ay-3bx-6by;
2) 14am-7an+8bm-4bn;
3) 9a^2+6a+1-4b^2;
4) 25a^2-4b^2+4b-1.
Двигаясь равномерно, велосипедист проехал 70 км. Записать формулу зависимости скорости велосипедиста v от времени t (в часах) нахождения его в пути. Найти v(5); v(7); v(3,5).
