Упражнение 612 ГДЗ Колягин Ткачёва 7 класс (Алгебра)
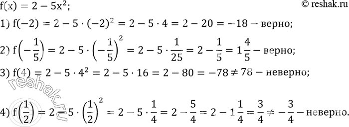
Функция задана формулой f(x)=2-5x^2. Верно ли равенство: 1) f(-2)=-18; 2) f(-1/5)=1 4/5; 3) f(4)=78; 4) f(1/2)=-3/4?Используя графики зависимостей массы m_1 воды и массы m_2 льда от объема V (рис.36,а), ответить на вопросы:


Ниже вариант решения задания из учебника Колягин, Ткачёва, Фёдорова 7 класс, Просвещение:
Функция задана формулой f(x)=2-5x^2. Верно ли равенство:
1) f(-2)=-18; 2) f(-1/5)=1 4/5; 3) f(4)=78; 4) f(1/2)=-3/4?
Используя графики зависимостей массы m_1 воды и массы m_2 льда от объема V (рис.36,а), ответить на вопросы:
1) Является ли функция m_1 (V) линейной?
2) Какой объем занимают лед и вода, если они имеют одинаковую массу, равную 500 г?
