Упражнение 616 ГДЗ Колягин Ткачёва 7 класс (Алгебра)
На рисунке 21 изображен график изменения температуры воздуха в течение суток. 1) По графику найти температуру воздуха в 2 ч, 6 ч, 12 ч, 18 ч.


Ниже вариант решения задания из учебника Колягин, Ткачёва, Фёдорова 7 класс, Просвещение:
На рисунке 21 изображен график изменения температуры воздуха в течение суток.
1) По графику найти температуру воздуха в 2 ч, 6 ч, 12 ч, 18 ч.
2) В какое время суток температура воздуха была равна 0^о C, -4^о C, 1^о C, 3^о C?
3) В какое время суток температура была самой высокой? самой низкой?
4) В какое время суток температура опускалась ниже 0^о C?
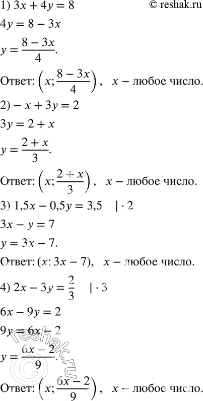
Записать все решения уравнения:
1) 3x+4y=8;
2)-x+3y=2;
3) 1,5x-0,5y=3,5;
4) 2x-3y=2/3.
