Упражнение 615 ГДЗ Колягин Ткачёва 7 класс (Алгебра)
(Устно.) Результаты измерений температуры воздуха за сутки даны в следующей таблице: 1) Назвать температуру в 6 ч, 18 ч, 24 ч.


Ниже вариант решения задания из учебника Колягин, Ткачёва, Фёдорова 7 класс, Просвещение:
(Устно.) Результаты измерений температуры воздуха за сутки даны в следующей таблице:
1) Назвать температуру в 6 ч, 18 ч, 24 ч.
2) В какое время температура была равна +1^о C, -4^о C, 11^о C?
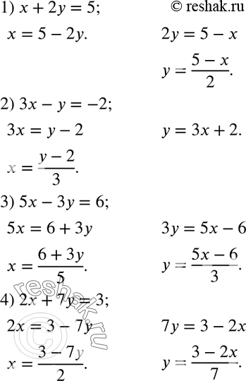
Дано линейное уравнение с двумя неизвестными x и y. Выразить сначала x через y, а затем y через x:
1) x+2y=5;
2) 3x-y=-2;
3) 5x-3y=6;
4) 2x+7y=3.
