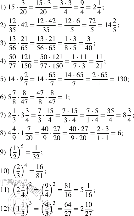
Упражнение 65 ГДЗ Колягин Ткачёва 7 класс (Алгебра)
Вычислить: 1) 15 · 3/20; 2) 12/35 · 42; 3) 13/56 · 21/65; 4) 50/77 · 121/150; 5) 14 · 9 2/7;


Ниже вариант решения задания из учебника Колягин, Ткачёва, Фёдорова 7 класс, Просвещение:
Вычислить:
1) 15 · 3/20; 2) 12/35 · 42; 3) 13/56 · 21/65; 4) 50/77 · 121/150;
5) 14 · 9 2/7; 6) 5 7/8 · 8/47); 7) 2 1/3 · 3 3/4; 8) 4 4/9 · 1 7/20;
9) (1/2)^5; 10) (2/3)^4; 11) (2 1/4)^2; 12) (1 1/3)^3.
При увеличении скорости движения автомобиля вдвое его тормозной путь увеличивается в 4 раза. При скорости 30 км/ч тормозной путь легкового автомобиля равен 7,2 м, а грузового - 9,5 м. Найти тормозной путь этих автомобилей при скорости 60 км/ч.
