Упражнение 66 ГДЗ Колягин Ткачёва 7 класс (Алгебра)
Найти: 1) 2/5 числа 100; 2) 3/8 числа 72; 3) 5/7 числа 4 2/3; 4) 7/16 числа 3 3/7.Записать в виде алгебраического выражения:


Ниже вариант решения задания из учебника Колягин, Ткачёва, Фёдорова 7 класс, Просвещение:
Найти:
1) 2/5 числа 100; 2) 3/8 числа 72;
3) 5/7 числа 4 2/3; 4) 7/16 числа 3 3/7.
Записать в виде алгебраического выражения:
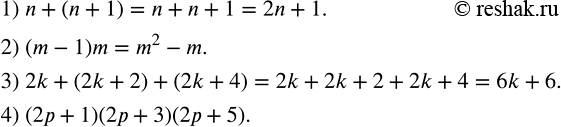
1) сумму двух последовательных натуральных чисел, меньшее из которых равно n;
2) произведение двух последовательных натуральных чисел, большее из которых равно m.
3) сумму трех последовательных четных натуральных чисел, меньшее из которых равно 2k;
4) произведение трех последовательных нечетных натуральных чисел, меньшее из которых равно 2p+1.
