Упражнение 1.11 ГДЗ Мордкович Семенов 9 класс (Алгебра)
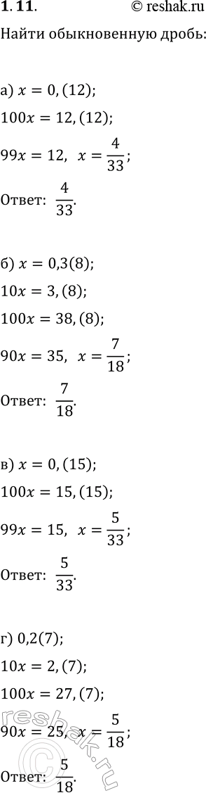
1.11. Представьте в виде обыкновенной дроби: а) 0,(12); б) 0,3(8); в) 0,(15); г) 0,2(7). *Цитирирование задания со ссылкой на учебник производится исключительно в учебных целях для лучшего понимания разбора решения задания.

Ниже вариант решения задания из учебника Мордкович, Семенов, Александрова 9 класс, Бином:
1.11. Представьте в виде обыкновенной дроби:
а) 0,(12); б) 0,3(8); в) 0,(15); г) 0,2(7).
