Упражнение 1.9 ГДЗ Мордкович Семенов 9 класс (Алгебра)
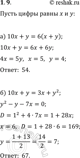
1.9. а) Найдите двузначное число, которое в 6 раз больше суммы своих цифр. б) Найдите двузначное число, которое равно сумме утроенного числа десятков и квадрата единиц.

Ниже вариант решения задания из учебника Мордкович, Семенов, Александрова 9 класс, Бином:
1.9. а) Найдите двузначное число, которое в 6 раз больше суммы своих цифр.
б) Найдите двузначное число, которое равно сумме утроенного числа десятков и квадрата единиц.
