Упражнение 1.7 ГДЗ Мордкович Семенов 9 класс (Алгебра)
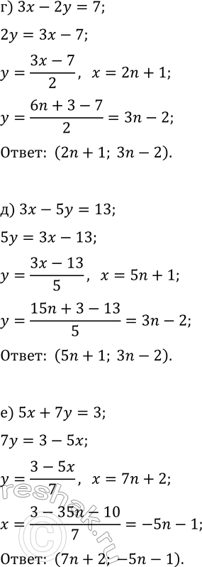
1.7. Найдите целочисленные решения уравнения: а) 3x+2y=7; г) 3x-2y=7; б) 4x-5y=19; д) 3x-5y=13; в) 7x-3y=10; е) 5x+7y=3. *Цитирирование задания со ссылкой на учебник производится исключительно в учебных целях для лучшего понимания разбора решения задания.


Ниже вариант решения задания из учебника Мордкович, Семенов, Александрова 9 класс, Бином:
1.7. Найдите целочисленные решения уравнения:
а) 3x+2y=7; г) 3x-2y=7;
б) 4x-5y=19; д) 3x-5y=13;
в) 7x-3y=10; е) 5x+7y=3.
