Упражнение 1.3 ГДЗ Мордкович Семенов 9 класс (Алгебра)
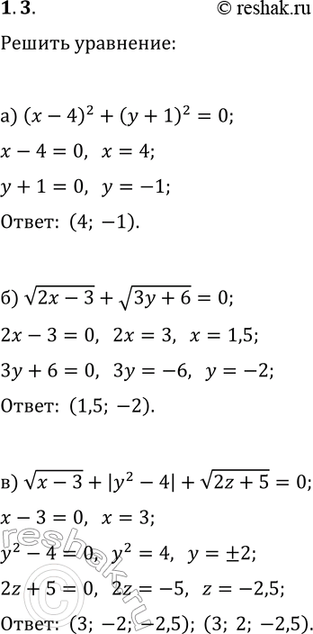
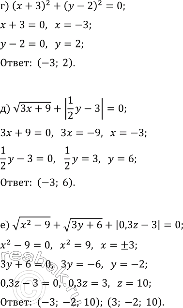
1.3. Решите уравнение: а) (x-4)^2+(y+1)^2=0; б) v(2x-3)+v(3y+6)=0; в) v(x-3)+|y^2-4|+v(2z+5)=0; г) (x+3)^2+(y-2)^2=0; д) v(3x+9)+|(1/2)y-3|=0; е) v(x^2-9)+v(3y+6)+|0,3z-3|=0. *Цитирирование задания со ссылкой на учебник производится исключительно в учебных целях для лучшего понимания разбора решения задания.


Ниже вариант решения задания из учебника Мордкович, Семенов, Александрова 9 класс, Бином:
1.3. Решите уравнение:
а) (x-4)^2+(y+1)^2=0;
б) v(2x-3)+v(3y+6)=0;
в) v(x-3)+|y^2-4|+v(2z+5)=0;
г) (x+3)^2+(y-2)^2=0;
д) v(3x+9)+|(1/2)y-3|=0;
е) v(x^2-9)+v(3y+6)+|0,3z-3|=0.
