Упражнение 1.5 ГДЗ Мордкович Семенов 9 класс (Алгебра)
1.5. Есть ли среди представленных уравнений пары равносильных уравнений? Назовите их, объясните свой выбор: а) (x^2-9y^2)/(x+4y)=0, x^2-9y^2=0, x-3y=0; б) v(3x+y)=2, 3x+y=4, |3x+y|=2;



Ниже вариант решения задания из учебника Мордкович, Семенов, Александрова 9 класс, Бином:
1.5. Есть ли среди представленных уравнений пары равносильных уравнений? Назовите их, объясните свой выбор:
а) (x^2-9y^2)/(x+4y)=0, x^2-9y^2=0, x-3y=0;
б) v(3x+y)=2, 3x+y=4, |3x+y|=2;
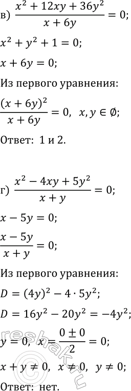
в) (x^2+12xy+36y^2)/(x+6y), x^2+y^2+1=0, x+6y=0;
г) (x^2-4xy+5y^2)/(x+y)=0, x-5y=0, (x-5y)/(x+y)=0;
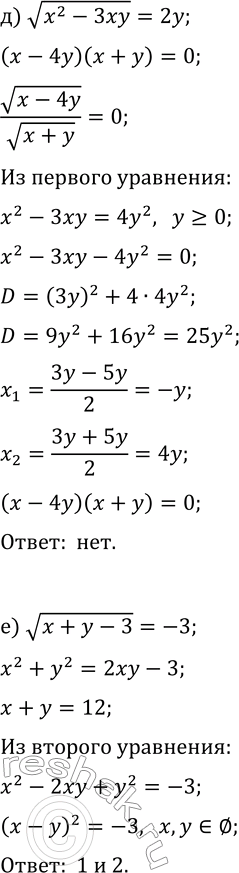
д) v(x^2-3xy)=2y, (x-4y)(x+y)=0, v(x-4y)/v(x+y)=0;
е) v(x+y-3)=-3, x^2+y^2=2xy-3, x+y=12.
