Упражнение 12.11 ГДЗ Мордкович Семенов 9 класс (Алгебра)
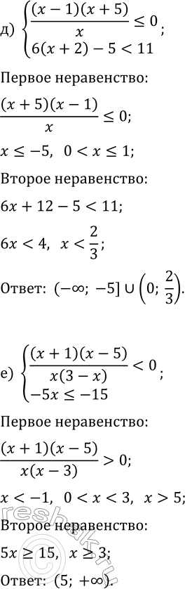
12.11. Решите систему неравенств: а) {(x^2-25)/x?0, 3x-2 > 0}; г) {(x^2-36)/x?0, 2x+24 > 0}; б) {(x-4)(x-2)/x?0, 5(x+2)-3 > 13}; д) {(x-1)(x+5)/x?0, 6(x+2)-5 в) {(1-x)(x+2)/(x(x+3)) *Цитирирование задания со ссылкой на учебник производится исключительно в учебных целях для лучшего понимания разбора решения задания.
Ниже вариант решения задания из учебника Мордкович, Семенов, Александрова 9 класс, Бином:
12.11. Решите систему неравенств:
а) {(x^2-25)/x?0, 3x-2 > 0}; г) {(x^2-36)/x?0, 2x+24 > 0};
б) {(x-4)(x-2)/x?0, 5(x+2)-3 > 13}; д) {(x-1)(x+5)/x?0, 6(x+2)-5
в) {(1-x)(x+2)/(x(x+3))



