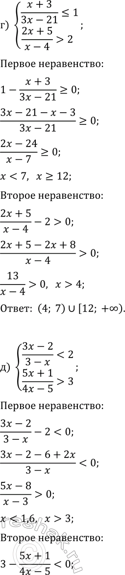
Упражнение 12.13 ГДЗ Мордкович Семенов 9 класс (Алгебра)
12.13. Решите систему неравенств: а) {(2x+1)/(x-2)?1, (3x+2)/(x-1) > 4}; б) {(7-3x)/(2-6x) 4}; в) {(4x-3)/(1-2x) > 1, (3x+2)/(7x-8) г) {(x+3)/(3x-21)?1, (2x+5)/(x-4) >
Ниже вариант решения задания из учебника Мордкович, Семенов, Александрова 9 класс, Бином:
12.13. Решите систему неравенств:
а) {(2x+1)/(x-2)?1, (3x+2)/(x-1) > 4};
б) {(7-3x)/(2-6x) 4};
в) {(4x-3)/(1-2x) > 1, (3x+2)/(7x-8)
г) {(x+3)/(3x-21)?1, (2x+5)/(x-4) > 2};
д) {(3x-2)/(3-x) 3};
е) {(5x+3)/(3x+2) > 3, (5x-4)/(6x+1)




