Упражнение 12.12 ГДЗ Мордкович Семенов 9 класс (Алгебра)
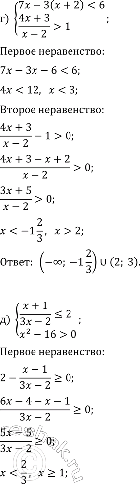
12.12. Решите систему неравенств: а) {(3x-1)/(x+3) > 1, 2x+3(x-1) > 2}; г) {7x-3(x+2) 1}; б) {(3x-4)/(x-5)?1, x^2-9 > 0}; д) {(x+1)/(3x-2)?2, x^2-16 >




Ниже вариант решения задания из учебника Мордкович, Семенов, Александрова 9 класс, Бином:
12.12. Решите систему неравенств:
а) {(3x-1)/(x+3) > 1, 2x+3(x-1) > 2}; г) {7x-3(x+2) 1};
б) {(3x-4)/(x-5)?1, x^2-9 > 0}; д) {(x+1)/(3x-2)?2, x^2-16 > 0};
в) {(2x+5)/(1-6x)?1, 4x^2?49}; е) {(x-1)/(3-2x)?1/2, x^2?25}.
