Упражнение 12.17 ГДЗ Мордкович Семенов 9 класс (Алгебра)
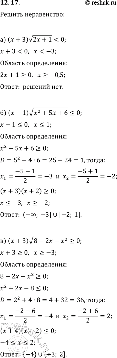
12.17. Решите неравенство: а) (x+3)v(2x+1) 0; б) (x-1)v(x^2+5x+6)?0; д) (x-2)v(x^2+3x+4) > 0; в) (x+3)v(8-2x-x^2)?0; е) (5-x)v(x^2+4x-5)?0. *Цитирирование задания со ссылкой на учебник производится исключительно в учебных целях для лучшего понимания разбора решения задания.


Ниже вариант решения задания из учебника Мордкович, Семенов, Александрова 9 класс, Бином:
12.17. Решите неравенство:
а) (x+3)v(2x+1) 0;
б) (x-1)v(x^2+5x+6)?0; д) (x-2)v(x^2+3x+4) > 0;
в) (x+3)v(8-2x-x^2)?0; е) (5-x)v(x^2+4x-5)?0.
