Упражнение 12.26 ГДЗ Мордкович Семенов 9 класс (Алгебра)
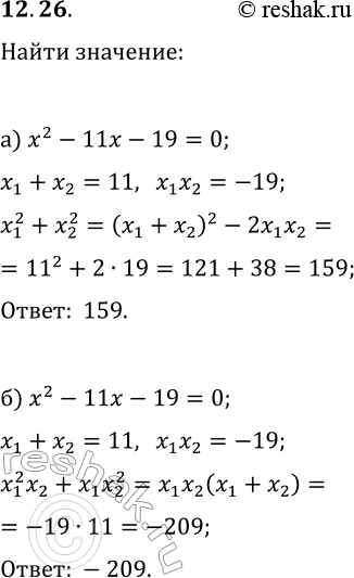
12.26. а) Пусть x_1 и x_2 — корни квадратного уравнения x^2-11x-19=0. Не решая уравнение, вычислите x_1^2+x_2^2. б) Пусть x_1 и x_2 — корни квадратного уравнения x^2-11x-19=0.

Ниже вариант решения задания из учебника Мордкович, Семенов, Александрова 9 класс, Бином:
12.26. а) Пусть x_1 и x_2 — корни квадратного уравнения x^2-11x-19=0. Не решая уравнение, вычислите x_1^2+x_2^2.
б) Пусть x_1 и x_2 — корни квадратного уравнения x^2-11x-19=0. Не решая уравнение, вычислите x_1^2x_2+x_1x_2^2.
