Упражнение 13.3 ГДЗ Мордкович Семенов 9 класс (Алгебра)
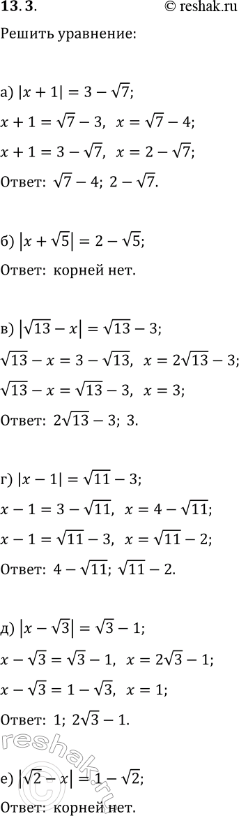
13.3. Решите уравнение: а) |x+1|=3-v7; г) |x-1|=v11-3; б) |x+v5|=2-v5; д) |x-v3|=v3-1; в) |v13-x|=v13-3; е) |v2-x|=1-v2. *Цитирирование задания со ссылкой на учебник производится исключительно в учебных целях для лучшего понимания разбора решения задания.

Ниже вариант решения задания из учебника Мордкович, Семенов, Александрова 9 класс, Бином:
13.3. Решите уравнение:
а) |x+1|=3-v7; г) |x-1|=v11-3;
б) |x+v5|=2-v5; д) |x-v3|=v3-1;
в) |v13-x|=v13-3; е) |v2-x|=1-v2.
