Упражнение 13.4 ГДЗ Мордкович Семенов 9 класс (Алгебра)
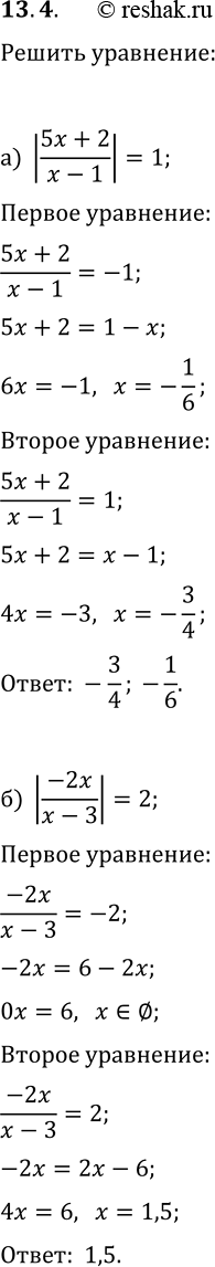
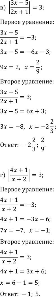
13.4. Решите уравнение: а) |(5x+2)/(x-1)|=1; в) |(3x-5)/(2x+1)|=3; д) |(4x+3)/(2-x)|=4; б) |-2x/(x-3)|=2; г) |(4x+1)/(x+2)|=3; е) |(0,5x-3)/(3x-4)|=2. *Цитирирование задания со ссылкой на учебник производится исключительно в учебных целях для лучшего понимания разбора решения задания.



Ниже вариант решения задания из учебника Мордкович, Семенов, Александрова 9 класс, Бином:
13.4. Решите уравнение:
а) |(5x+2)/(x-1)|=1; в) |(3x-5)/(2x+1)|=3; д) |(4x+3)/(2-x)|=4;
б) |-2x/(x-3)|=2; г) |(4x+1)/(x+2)|=3; е) |(0,5x-3)/(3x-4)|=2.
