Упражнение 13.13 ГДЗ Мордкович Семенов 9 класс (Алгебра)
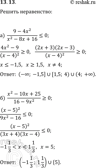
13.13. Решите неравенство: а) (9-4x^2)/(x^2-8x+16)?0; б) (x^2-10x+25)/(16-9x^2)?0. *Цитирирование задания со ссылкой на учебник производится исключительно в учебных целях для лучшего понимания разбора решения задания.

Ниже вариант решения задания из учебника Мордкович, Семенов, Александрова 9 класс, Бином:
13.13. Решите неравенство:
а) (9-4x^2)/(x^2-8x+16)?0;
б) (x^2-10x+25)/(16-9x^2)?0.
