Упражнение 14.3 ГДЗ Мордкович Семенов 9 класс (Алгебра)
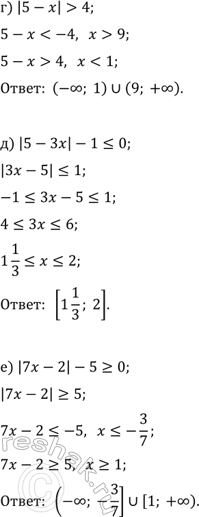
14.3. Решите неравенство: а) |2x-2| б) |2x-4|?8; г) |5-x| > 4; е) |7x-2|-5?0. *Цитирирование задания со ссылкой на учебник производится исключительно в учебных целях для лучшего понимания разбора решения задания.


Ниже вариант решения задания из учебника Мордкович, Семенов, Александрова 9 класс, Бином:
14.3. Решите неравенство:
а) |2x-2|
б) |2x-4|?8; г) |5-x| > 4; е) |7x-2|-5?0.
