Упражнение 14.2 ГДЗ Мордкович Семенов 9 класс (Алгебра)
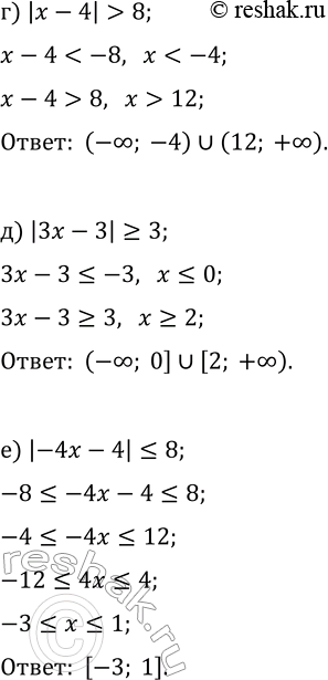
14.2. Решите неравенство: а) |3x| > 6; в) |x-3| б) |-4x| 8; е) |-4x-4|?8. *Цитирирование задания со ссылкой на учебник производится исключительно в учебных целях для лучшего понимания разбора решения задания.


Ниже вариант решения задания из учебника Мордкович, Семенов, Александрова 9 класс, Бином:
14.2. Решите неравенство:
а) |3x| > 6; в) |x-3|
б) |-4x| 8; е) |-4x-4|?8.
