Упражнение 13.7 ГДЗ Мордкович Семенов 9 класс (Алгебра)
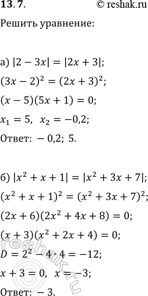
13.7. Решите уравнение: а) |2-3x|=|2x+3|; б) |x^2+x+1|=|x^2+3x+7|; в) |x^2+3x-7|=|3x^2-5x+1|; г) |8x-3|=|9-x|. *Цитирирование задания со ссылкой на учебник производится исключительно в учебных целях для лучшего понимания разбора решения задания.


Ниже вариант решения задания из учебника Мордкович, Семенов, Александрова 9 класс, Бином:
13.7. Решите уравнение:
а) |2-3x|=|2x+3|;
б) |x^2+x+1|=|x^2+3x+7|;
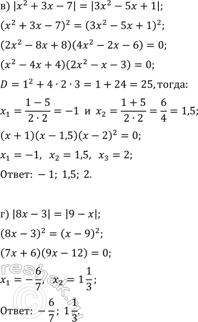
в) |x^2+3x-7|=|3x^2-5x+1|;
г) |8x-3|=|9-x|.
