Упражнение 17.10 ГДЗ Мордкович Семенов 9 класс (Алгебра)
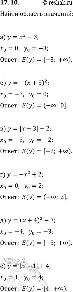
17.10. Укажите область значений данной функции: а) y=x^2-3; г) y=-x^2+2; б) y=-(x+3)^2; д) y=(x+4)^2-3; в) y=|x+3|-2; е) y=|x-1|+4. *Цитирирование задания со ссылкой на учебник производится исключительно в учебных целях для лучшего понимания разбора решения задания.

Ниже вариант решения задания из учебника Мордкович, Семенов, Александрова 9 класс, Бином:
17.10. Укажите область значений данной функции:
а) y=x^2-3; г) y=-x^2+2;
б) y=-(x+3)^2; д) y=(x+4)^2-3;
в) y=|x+3|-2; е) y=|x-1|+4.
