Упражнение 17.12 ГДЗ Мордкович Семенов 9 класс (Алгебра)
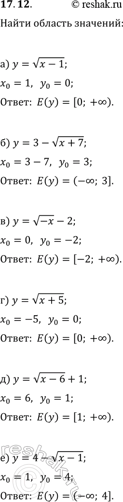
17.12. Укажите область значений данной функции: а) y=v(x-1); г) y=v(x+5); б) y=3-v(x+7); д) y=v(x-6)+1; в) y=v(-x)-2; е) y=4-v(x-1). *Цитирирование задания со ссылкой на учебник производится исключительно в учебных целях для лучшего понимания разбора решения задания.

Ниже вариант решения задания из учебника Мордкович, Семенов, Александрова 9 класс, Бином:
17.12. Укажите область значений данной функции:
а) y=v(x-1); г) y=v(x+5);
б) y=3-v(x+7); д) y=v(x-6)+1;
в) y=v(-x)-2; е) y=4-v(x-1).
