Упражнение 17.11 ГДЗ Мордкович Семенов 9 класс (Алгебра)
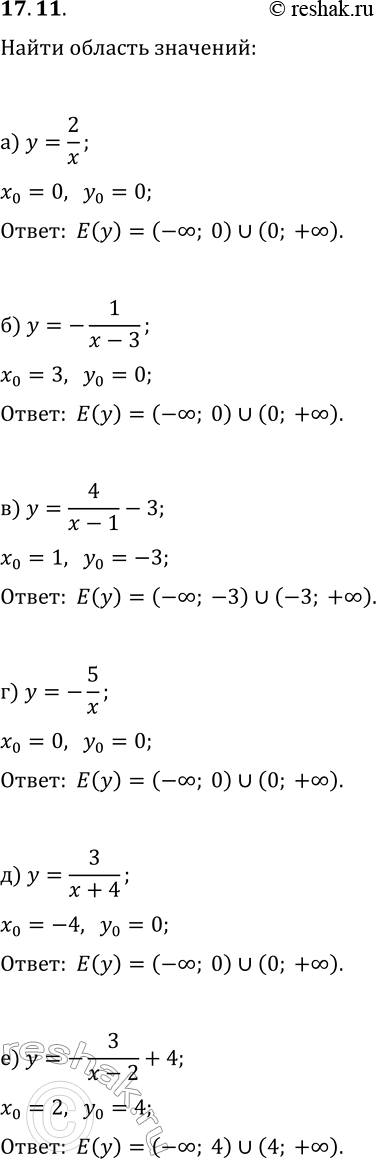
17.11. Укажите область значений данной функции: а) y=2/x; г) y=-5/x; б) y=-1/(x-3); д) y=3/(x+4); в) y=4/(x-1)-3; е) y=-3/(x-2)+4. *Цитирирование задания со ссылкой на учебник производится исключительно в учебных целях для лучшего понимания разбора решения задания.

Ниже вариант решения задания из учебника Мордкович, Семенов, Александрова 9 класс, Бином:
17.11. Укажите область значений данной функции:
а) y=2/x; г) y=-5/x;
б) y=-1/(x-3); д) y=3/(x+4);
в) y=4/(x-1)-3; е) y=-3/(x-2)+4.
