Упражнение 18.14 ГДЗ Мордкович Семенов 9 класс (Алгебра)
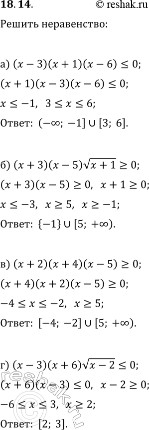
18.14. Решите неравенство: а) (x-3)(x+1)(x-6)?0; в) (x+2)(x+4)(x-5)?0; б) (x+3)(x-5)v(x+1)?0; г) (x-3)(x+6)v(x-2)?0. *Цитирирование задания со ссылкой на учебник производится исключительно в учебных целях для лучшего понимания разбора решения задания.

Ниже вариант решения задания из учебника Мордкович, Семенов, Александрова 9 класс, Бином:
18.14. Решите неравенство:
а) (x-3)(x+1)(x-6)?0; в) (x+2)(x+4)(x-5)?0;
б) (x+3)(x-5)v(x+1)?0; г) (x-3)(x+6)v(x-2)?0.
