Упражнение 18.15 ГДЗ Мордкович Семенов 9 класс (Алгебра)
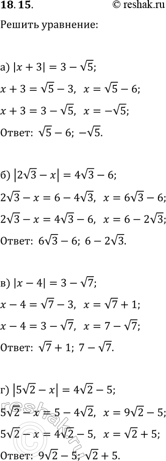
18.15. Решите уравнение: а) |x+3|=3-v5; в) |x-4|=3-v7; б) |2v3-x|=4v3-6; г) |5v2-x|=4v2-5. *Цитирирование задания со ссылкой на учебник производится исключительно в учебных целях для лучшего понимания разбора решения задания.

Ниже вариант решения задания из учебника Мордкович, Семенов, Александрова 9 класс, Бином:
18.15. Решите уравнение:
а) |x+3|=3-v5; в) |x-4|=3-v7;
б) |2v3-x|=4v3-6; г) |5v2-x|=4v2-5.
