Упражнение 19.19 ГДЗ Мордкович Семенов 9 класс (Алгебра)
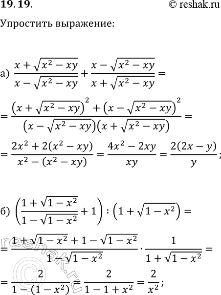
19.19. Упростите выражение: а) (x+v(x^2-xy))/(x-v(x^2-xy))+(x-v(x^2-xy))/(x+v(x^2-xy)); б) ((1+v(1-x^2))/(1-v(1-x^2))+1):(1+v(1-x^2)). *Цитирирование задания со ссылкой на учебник производится исключительно в учебных целях для лучшего понимания разбора решения задания.

Ниже вариант решения задания из учебника Мордкович, Семенов, Александрова 9 класс, Бином:
19.19. Упростите выражение:
а) (x+v(x^2-xy))/(x-v(x^2-xy))+(x-v(x^2-xy))/(x+v(x^2-xy));
б) ((1+v(1-x^2))/(1-v(1-x^2))+1):(1+v(1-x^2)).
