Упражнение 19.17 ГДЗ Мордкович Семенов 9 класс (Алгебра)
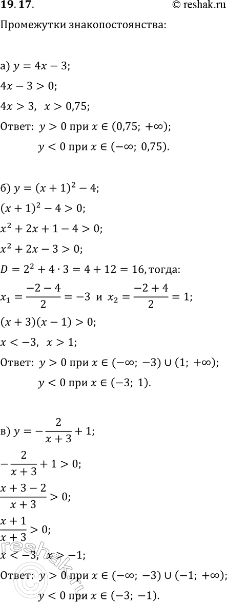
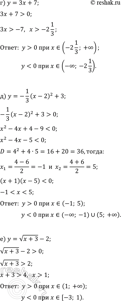
19.17. Определите промежутки знакопостоянства функции: а) y=4x-3; г) y=3x+7; б) y=(x+1)^2-4; д) y=-1/3 (x-2)^2+3; в) y=-2/(x+3)+1; е) y=v(x+3)-2. *Цитирирование задания со ссылкой на учебник производится исключительно в учебных целях для лучшего понимания разбора решения задания.


Ниже вариант решения задания из учебника Мордкович, Семенов, Александрова 9 класс, Бином:
19.17. Определите промежутки знакопостоянства функции:
а) y=4x-3; г) y=3x+7;
б) y=(x+1)^2-4; д) y=-1/3 (x-2)^2+3;
в) y=-2/(x+3)+1; е) y=v(x+3)-2.
