Упражнение 19.18 ГДЗ Мордкович Семенов 9 класс (Алгебра)
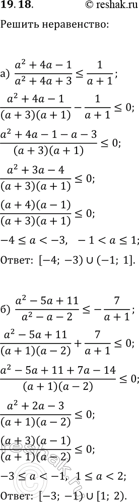
19.18. Решите неравенство: а) (a^2+4a-1)/(a^2+4a+3)?1/(a+1); б) (a^2-5a+11)/(a^2-a-2)?-7/(a+1). *Цитирирование задания со ссылкой на учебник производится исключительно в учебных целях для лучшего понимания разбора решения задания.

Ниже вариант решения задания из учебника Мордкович, Семенов, Александрова 9 класс, Бином:
19.18. Решите неравенство:
а) (a^2+4a-1)/(a^2+4a+3)?1/(a+1);
б) (a^2-5a+11)/(a^2-a-2)?-7/(a+1).
